Calculées et mesurées: Les compositions du C-et C-PHASE (&CC et CC&) dans les quatre alliages étudiés ont été mesurés avec APT 3D (ERBO 1) [36] et avec TEM-edx (erbo 15 et dérivés) [32]. Les résultats expérimentaux pour les deux phases sont présentées dans les tableaux 7 (c-Phase) et 8 (c-&phase). Les tableaux 7 et 8 contiennent également des prévisions thermocalc obtenues pour des températures à 1143 k (température de la deuxième étape de traitement de précipitation pour tous les alliages), à 1413 k et 1583 k (ERBO/1; température de première étape de traitement de précipitation et homogénéisation, respectivement) et à 1313 K et 1583 K (variantes ERBO/15; température de la première étape de traitement des précipitations et homogénéisation, respectivement). Étant donné que la C-phase présente une fraction de volume plus petite que la C-phase, les modifications de sa composition chimique&sont plus prononcées. Aux figures. 10 et 11,nous présentons des compositions présentées pour la C-phase du tableau 7 en tant que graphiques à tarte. La figure 10 montre des données expérimentales, qui ont été mesurées dans les quatre alliages de chaleur-treated avant le fluage. Les prévisions de thermocalc obtenues pour les C-éphases d'ERBO/1 (1143, 1413 et 1583 K) et pour ERBO/15 (1143, 1313 et 1583 K) sont présentées à la Fig. 11.

sans graphique) montrent que des températures croissantes conduisent à des quantités croissantes de Ti, Al et Ta et des quantités décroissantes simultanément de Cr, Co, W et Re Pour Erbo1 dans la c phase. Comme on peut le voir dans les résultats Thermocalc présentés à la Fig. 11, la quantité de la base NI augmente avec une température croissante dans ERBO 1. Au contraire, elle diminue lorsque la température augmente dans ERBO 15.The--&/\\ datanthermodynamic pour le c-et les c/phases dans/Tableau 7 (et les Fig. 10 et 11) et le tableau 8, respectivement, il montre en outre que les données thermocalc pour 1143 k (température du traitement de la dernière précipitation des alliages expérimentaux) et des données déterminées expérimentalesne sont pas en plein accord, mais sont raisonnablement proches les unes des autres pour les deux systèmes alliés. Seulement dans le cas de ERBO15, l'élément Mo montre une valeur significativement plus faible dans le calcul à 1143 k (1,0% en%) que dans l'expérience (4.4AT.%). --&discussion raideurs élastiques: comme on peut le voir sur la Fig. 6A-C, toutes les raideurs élastiques diminuent avec une température croissante. C'est principalement une conséquence de l'anharmononie du potentiel de réseau. Lorsque la température augmente, les vibrations thermiques croissantes conduisent à de plus grandes distances de liaison, qui se traduisent par une diminution de l'interaction de liaison et donc une diminution des raideurs élastiques. Le comportement élastique d'Erbo/1 et Erbo15 est presque identique, où
101; comme les résultats des variantes maigres Erbo
BASE SX (y compris des microstructures CC '/) ainsi que leurs principales compositions chimiques ([62,/% NI, [11 à.&% al)ne diffèrent que légèrement, les interactions Sont dominés par les contacts Ni-Ni et Ni-Al,n'enregistrant que de petites variations des raideurs élastiques macroscopiques [42].#/--/---
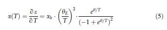
TTHERMAL EXPANSION et CSOLVUS Températures-: L'expansion thermique est associée à une tendance d'un matériau à modifier son volume avec une température croissante. Dans un cristal, cela est associé à une énergie vibratoire croissante des atomes et de la formenon&harmonique du potentiel de réseau. Selon la relation cruciale de Gru¨-, Aðtþ est proportionnelle à la capacité de chaleur; Ainsi, la souche thermique eðtþ peut être- descrit par une forme intégrée du modèle Einstein [52, 53]:
-e0 représente la souche initiale à 0 K, ah désigne la haute \\ limite dentemperature du coefficient de dilatation thermique, et il est l'équivalent de la température Einstein. Le premier dérivé par rapport à la température donne le coefficient d'expansion thermique:


Profession: Product manager
département: Market Department
Téléphone de l'entreprise: +86 021-59150215
E-mail: Contactez nous
Téléphone portable: +86 13817160919
Site Internet: lanzhusuperalloy.frainfo.com
Adresse: No. 2800 Caoxin Road, Xuhang Town, Jiading District, Shanghai